• ホーム
  • 精力剤コラム
  • お問い合わせ
  • 運営者情報
  • Home
  • 過去の記事一覧

精力剤コラム

    • 精力剤コラム

    マカが精力サプリ配合される理由は?なんとなくでマカを選んでませんか?

    マカは、栄養価が高く、特に精力向上に役立つと言われている伝統的なスーパーフードです。しかし、なぜ多くの精力サプリにマカが配合され…

    • 精力剤コラム

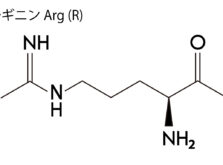
    アルギニンってどんな役割があるの?精力アップへの影響は?

    アルギニンってどんな成分?アルギニンは、私たちの体内でさまざまな重要な役割を果たすアミノ酸の一つです。体内で生成されるこ…

    • 精力剤コラム

    【成分解説】Physta(フィスタ)ってどんな成分?精力サプリになぜ配合されているの?

    Physta(フィスタ)ってどんな成分?Physta®は、トンカットアリ(学名:Eurycoma longifolia)…

    • 精力剤コラム

    【成分解説】アストラジンってどんな成分?精力サプリになぜ配合されているの?

    アストラジン™ってどんな成分?アストラジン™は、植物から取り出した成分で、主に黄花黄耆(キバナオオギ)と田七人参 (デン…

    • 精力剤コラム

    【成分解説】バイオペリンってどんな成分?精力サプリになぜ配合されているの?

    バイオペリン®ってどんな成分?バイオペリン®は、黒胡椒(Piper nigrum)や長胡椒(ヒハツ)の果実に含まれる辛み…

  • «
  • 1
  • 2
  • 3

管理人プロフィール

OTOKOUP 管理人
OTOKOUP:前田 豊

当研究室は精力不足に悩むあなたにピッタリな精力サプリを見つける助けになる「精力サプリ」の比較サイトです。 【折れない自信】を求めている方に向けた商品の選び方をご紹介しています。

精力サプリ一覧

  • 1位.DANKATSU(ダンカツ)
    1位.DANKATSU(ダンカツ)
    XGAIN配合
    マカ100倍
    4つの特許/商標
    72%OFF
  • 2位.スパルトT5
    2位.スパルトT5
    LJ100配合
    特許成分4種類
    アフターケア充実
  • 3位.エディケアEX
    3位.エディケアEX
    全成分量が明記
    ピクノジェノール配合
  • 4位.プロキオン
    4位.プロキオン
    医薬部外品
    お試しパックあり
  • 5位.ぺプチア
    5位.ぺプチア
    現役医師監修
    電話営業有り
  • 6位.活力支援サプリメント
    6位.活力支援サプリメント
    TENGAブランド
    初回割引なし
  • 7位.テストコアNO3
    7位.テストコアNO3
    テストフェン配合
    LINEサポート有
  • 8位.ヴォルスタービヨンドブラスト
    8位.ヴォルスタービヨンドブラスト
    236種類配合
    ジオパワー15配合
  • 9位.ヴィトックスα
    9位.ヴィトックスα
    レスベラトロール配合
    10冠獲得
  • 10位.百凱王
    10位.百凱王
    高麗山参を配合
    全成分の詳細不明
  • 11位.23zi
    11位.23zi
    セクシー女優起用
    3つの特許
  • 12位.ペニブーストプレミアム
    12位.ペニブーストプレミアム
    プロポリス配合
    3冠獲得
  • 13位.ライデン
    13位.ライデン
    顆粒タイプ
    過激な広告
  • 14位.クラチャイダムゴールド
    14位.クラチャイダムゴールド
    クラチャイダムのみ配合
  • 15位.精の命
    15位.精の命
    セクシー女優を起用

※掲載されている体験談・口コミは個人の感想で効果・効能を約束するものではございません。
記載されているパッケージや価格等はメーカーにより変更される場合がございますので、詳細は各メーカーへお問い合わせください。

OTOKOUP
トップページへ戻る
LIST
DANKATSU(ダンカツ)
OCTAGON(オクタゴン)
テストコアNO3
プロキオン
エディケアEX
スパルトT5
ぺプチア
ヴォルスタービヨンドブラスト
ヴィトックスα
百凱王
23zi
ペニブースト
ライデン
クラチャイダムゴールド
精の命
ABOUT
特定商取引法に基づく表記
プライバシーポリシー
利用規約
お問い合わせ
【本調査の概要】調査の目的:活力サプリに対しての意識調査
対象:日本国内の20代~70代の男性
参加者:20代~70代の男性 1782名
調査方法:WEBアンケート形式
調査実施期間:2023年3月21日~2023年7月12日
有効回答数:1691件
Copyright ©  OTOKOUP All Rights Reserved.